
Electric flux is given by,

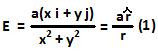
For this problem,

Since all points on the sphere are at the same distance R from the center, the electric field E at any point on the sphere is given by,

acting radially outwards (in the same direction as dS the area vector).
Since E is the same at every point on the sphere's surface the total flux is given by,
But the field is uniform at the surface of sphere only in the XY plane.
ReplyDeleteWhy z axis is not considered
ReplyDeleteThis comment has been removed by the author.
ReplyDeleteWhat a BS solution...
ReplyDeleteHey Sarthak! Note that E vector is given as a function of i and j unit vectors. We can see that E vector exists only in the x-y plane. Flux will only be generated in the x-y plane. Therefore, the z-axis becomes insignificant for consideration.
ReplyDeleteI HOPE THIS RESOLVES YOUR DILEMMA.
That's not true E exixts in whole space not just xy plane
DeleteThe thing is that E doesn't vary with z. If you try doing this question by considering that E only exixt in xy plane you will get wrong answer
This comment has been removed by the author.
ReplyDeleteHi there ,
ReplyDeleteI saw some other same solutions on this website
All of them have done same mistake
i.e they take r(unit vector)=(xi+yj)/(x²+y²)
Which is wrong!!
Though the answer is write because E.ds doesn't depend on angle(theta)
Instead of doing this just take the correct value of r(unit vector)
And put x=rcos(Φ)sin(θ) and y=rsin(Φ)sin(θ)
And put r(unit vector)=(cosΦsinθ)i+(sinΦsinθ)j+(cosθ)k
It will give same correct answer
Dear Sourabh, the main problem with this question is many us have confused with the reality and the imagination and have mixed one into the other.
DeleteYour way of cracking this problem is a direct way of solving it. You don't compare the problem with anything. Just E is given and r can be set up as you have done above for the sphere, and integrating it over the area of the sphere should give us the correct answer. That's most direct way of attacking the problem. No comparisons there.
The other method done elsewhere is this: the given function of E exactly resembles the function due to the infinite line charge. So calculating the flux of this line charge over a distance of 2R (because the diameter of the sphere is 2R) should give us the required answer. So in order to do that the cylinder is brought in here and the unit vector is taken as r(unit vector) = (xi+yj)/(x²+y²). Electric field would go radially through the lateral surface of the cylinder and this method works!
Hope I made it clear. In fact I found one more method where you don't even have to integrate (when comparing with a line charge). It is known that field is given by 2kλ/r. Comparing this with the given function we can write λ=a/2k. Now just multiply this with 2R and you'll get the total charge enclosed within sphere. Now apply Gauss' law and divide it by epison not. You would have got the answer.
Hi Satish, i appreciate your efforts of unfolding this solution.
ReplyDeleteBut the thing is this solution is correct if and only if the question asks for the flux through the surface and that is just because of the fact that flux doesn't depends upon the shape of surface u are dealing with but it only depends upon the number of field lines passing through it.
Now if u see the solution carefully u will see more mistakes like "since E is same at every point on the sphere " which is clearly wrong.
Now i clearly know why this solution is posted in this way because these type of questions appeals to the large population of "JEE aspirants".
Now if students comes up to this website to see this solution most of them won't have any problem with this because most of the student's imagination is stuck in 2D world but some of them will notice that something is wrong as u can see by reading comments.
Now i really appreciate your efforts of explaining the solution but the thing is this approach is brilliant but it only works if the question asks for flux.
But more traditional approach that i did works for everything which make it more generlized and usefull .
I hope u understand my point of view :)
Yes the solution given on this site is definitely wrong. I also appreciate your general method, because if the function of E is slightly different, we may not get anything like line charge to compare.
DeleteThere is a similar issue with another problem in Kinematics: Consider a collection of a large number of particles each with speed v. The direction of velocity is randomly distributed in the collection. Show that the magnitude of the relative velocity between a pair of particles averaged over all the pairs in the collection is greater than v.
Everywhere this problem is dealt only in 2D which is very wrong. I solved it for 3D, but I get so tensed when I see such wrong solutions.
Yeah, that's why i said that these types of solutions are made for students who are currently doing jee preperation but we know books like irodov or not completely covered by jee syllabus so in some problems maths required to solve the problem is not taught to the students of class 12th that's why we encounter such type of solutions.
ReplyDeleteSourabh..i have another problem. Please see if you can help me out. The potential of a charged sphere varies inside the sphere as V = ar^2 + b, where r is the distance from the centre of the sphere (a and b constants). You have find the charge density of the sphere as a function of r. Now I know how to find the answer to this problem using Electric field and Gauss' law. But I want to get the answer without using those. I want to solve it purely using the definition of potential and the function given here, without E or Gauss' theorem. When I tried so I am not getting the correct answer (my final answer varies by a factor of 3). Could you help me out?
DeleteI think i know why u are getting that error. As a defination of potential you might be using dV=K(dQ)/r here K=1/(4πεᤱ).
ReplyDeleteNow ,you might be using this equation
(dQ=(dV)r/K)
to get the charge and then u might have divided that charge by some volume.
If u are doing this then u are making a simple mistake .
Think about that defination properly.
That defination says that potential due to small charge dq is equal to K(dq)/r here r is the distance of that charge from any arbitrary point.
Now as its given V=ar²+b .This r is the distance of centre from any arbitrary point inside the sphere.
Both of these r are different and u might have mistakely used dV=2ar(dr) in that equation without knowing that this r is different.
Correction in upper comment (6th line):- to get the charge density.
ReplyDeleteAlso this method can work if u take both r different but that will make the mathematics very very difficult.
There is another method also
For example use poison's equation
∇²(V)=ρ/εᤱ
But that is just another way of using gauss law
Yes you are right. Initially I did that mistake. Later on I tried using the fact that the potential due to a thin shell doesn't depend on the point which we are taking inside the shell. But that's also not working.
ReplyDeleteIn a way, this problem looks too simple at first sight. Potential is given function of r. As Q and r are the only things that determine potential, we think charge density can be found using calculus and it becomes a problem of calculus.
But unfortunately it turns out to be a really difficult problem, if we don't bring in other things like Gauss' law. Thank you so much.
Sourabh.. I got the answer using potential formula itself. After so much struggle :-) Can you give your email so that I can scan and send you this? It is little long to put here.
ReplyDeleteThis comment has been removed by the author.
ReplyDelete